Результаты примера обучающихся в проекте Разрабатываем алгоритмы

Материал из Wiki Mininuniver
Перейти к навигацииПерейти к поиску


Авторы и участники проекта

  • Участники группы "Менеджеры"

Тема исследования группы

Создание алгоритма для планировщика задач, который будет автоматически определять приоритет дел и напоминать о них

Проблемный вопрос (вопрос для исследования)

Как создать алгоритм для планировщика задач, который будет автоматически определять приоритет дел и напоминать о них?

Гипотеза исследования

Мы считаем, что алгоритмы смогут упростить жизнь и помогут в составлении графика ежедневных задач

Цели исследования

1. Изучить популярные приложения-планировщики и выявить их ключевые функции по определению приоритетов, представить результаты в виде ментальной карты.

2. Составить список параметров, влияющих на приоритет задачи

3. Создать формулу для расчета "балла важности" задачи на основе выбранных параметров

4. Нарисовать блок-схему для программы

5. Написать код на Python, который получает список дел, сортирует их по этому баллу и выводит результат.

6. Дать друзьям список разных задач и посмотреть, согласны ли они с приоритетами, которые выдал наш алгоритм.

7. Сделать выводы: что работает хорошо, а что можно улучшить.

Результаты проведённого исследования

1. Для начала ребята изучили самые популярные и доступные приложения для планирования своих задач. Результаты своих исследований они представили в виде ментальной карты, созданной на специальном онлайн-сервисе. Ознакомиться с результатами вы можете ниже

МентальнаякартаГаврилов.jpg

2. При совместном обсуждении мы выявили список «параметров», которые влияют на важность задач:

1.Срок выполнения

2.Важность (высокая, средняя, низкая)

3.Срочность

4.Оценка трудозатрат

3.Учащиеся рассчитали и выявили формулу для расчёта балла важности: Балл важности = (Срок × 3) + (Важность × 3) + (Срочность × 2) + (Трудозатраты × 1) Им необходимо было ее обосновать: Каждый параметр умножается на "вес" - это число показывает, насколько этот параметр ВАЖЕН для общего приоритета. Немного про "вес":

×3 - Срок и Важность (самые важные параметры)

×2 - Срочность (важный, но менее критичный)

×1 - Трудозатраты (вспомогательный параметр)

Учащиеся создали оценку важности по баллам:

0-50 баллов - Несрочные задачи (можно отложить)

51-120 баллов - Обычные задачи (планировать на неделю)

121-200 баллов - Важные задачи (сделать в ближайшие дни)

201+ баллов - КРИТИЧЕСКИ важные (сделать СЕГОДНЯ)

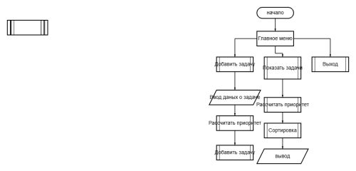
4. Перед написанием программы необходимо создать блок-схему программы. Пример блок-схемы основной программы можно увидеть ниже:

БлоксхемаГаврилов.png

5. На совместном обсуждении ученики выбрали Python как основной язык программирования. Описание программы:

1. Сбор информации о задаче Когда мы добавляем новую задачу, программа спрашивает:

Название (например, "Подготовка к ЕГЭ по математике")

Дедлайн (когда нужно сделать)

Важность (высокая/средняя/низкая)

Срочность (срочно/скоро/обычная)

Время выполнения (в минутах)

2. Расчет приоритета Программа считает баллы по каждому параметру:

Дедлайн - чем ближе срок, тем больше баллов

Важность - ЕГЭ получает высокие баллы, хобби - низкие

Срочность - срочные задачи получают больше баллов

Время - короткие задачи получают бонус (их можно сделать быстро)

Все баллы складываются по формуле:

Общий балл = (Дедлайн × 3) + (Важность × 3) + (Срочность × 2) + (Время × 1)

3. Сортировка и вывод

Программа сортирует все задачи по полученным баллам и показывает список, где вверху - самые важные задачи, которые нужно сделать в первую очередь.

Пример работающей программы:

ПрограммаГаврилов.jpg

6. Ребята решили добавить свои задачи и сравнить правильно работы алгоритма. Мы добавили задачу решить алгоритм и участник команды полностью согласился с результатом:

ТестпрограммыГаврилов.jpg

7. После анализа, теста программы участники выявили ее плюсы и минусы:

Плюсы:

1. Алгоритм приоритета

2. Техническая реализация

Минусы:

1. Функционал

2. Алгоритм программы

3. Интерфейс

Вывод

Разработка алгоритма автоматического определения приоритетов для планировщика задач позволяет эффективно управлять учебной нагрузкой, объективно оценивать важность дел и оптимизировать процесс распределения времени. Использование взвешенной формулы расчета приоритетов на основе ключевых параметров (срока выполнения, важности, срочности и трудозатрат) значительно упрощает процесс принятия решений о последовательности выполнения задач и помогает сосредоточиться на наиболее значимых целях.

В результате исследования были разработаны практические правила системы напоминаний, которые могут быть полезны как учащимся для повышения академической эффективности, так и преподавателям для организации учебного процесса. Реализованный алгоритм демонстрирует устойчивую работу и может быть адаптирован для различных образовательных сценариев, в особенности для подготовки к итоговой аттестации в выпускных классах.

Проведенное тестирование подтвердило, что система адекватно расставляет приоритеты, выделяя критически важные задачи (подготовка к ЕГЭ, проекты с близкими дедлайнами) и отодвигая менее значимые дела, что способствует снижению учебного стресса и повышению продуктивности учащихся.

Полезные ресурсы

И. Аверченков, Ю. А. Малахов. – 4-е изд., стер. – Москва : ФЛИНТА, 2021. – 156 с

Савенкова Е. О., Манаков А. С., Зверева Т. С. ФОРМИРОВАНИЕ ПОНЯТИЯ АЛГОРИТМА В БАЗОВОМ КУРСЕ ИНФОРМАТИКИ

Основы алгоритмов-Яндекс

Основы алгоритмов-Умскул учебник

Другие документы